2023-06-22 カリフォルニア大学バークレー校(UCB)
◆ハチドリはアルコールを速やかに代謝するため、酔うことはありません。今後の研究では、花や餌の中のアルコール濃度を測定し、鳥類がどれだけ頻繁にアルコールを摂取しているのかを調べる予定です。
<関連情報>
- https://news.berkeley.edu/2023/06/22/do-hummingbirds-drink-alcohol-more-often-than-you-think/
- https://royalsocietypublishing.org/doi/10.1098/rsos.230306
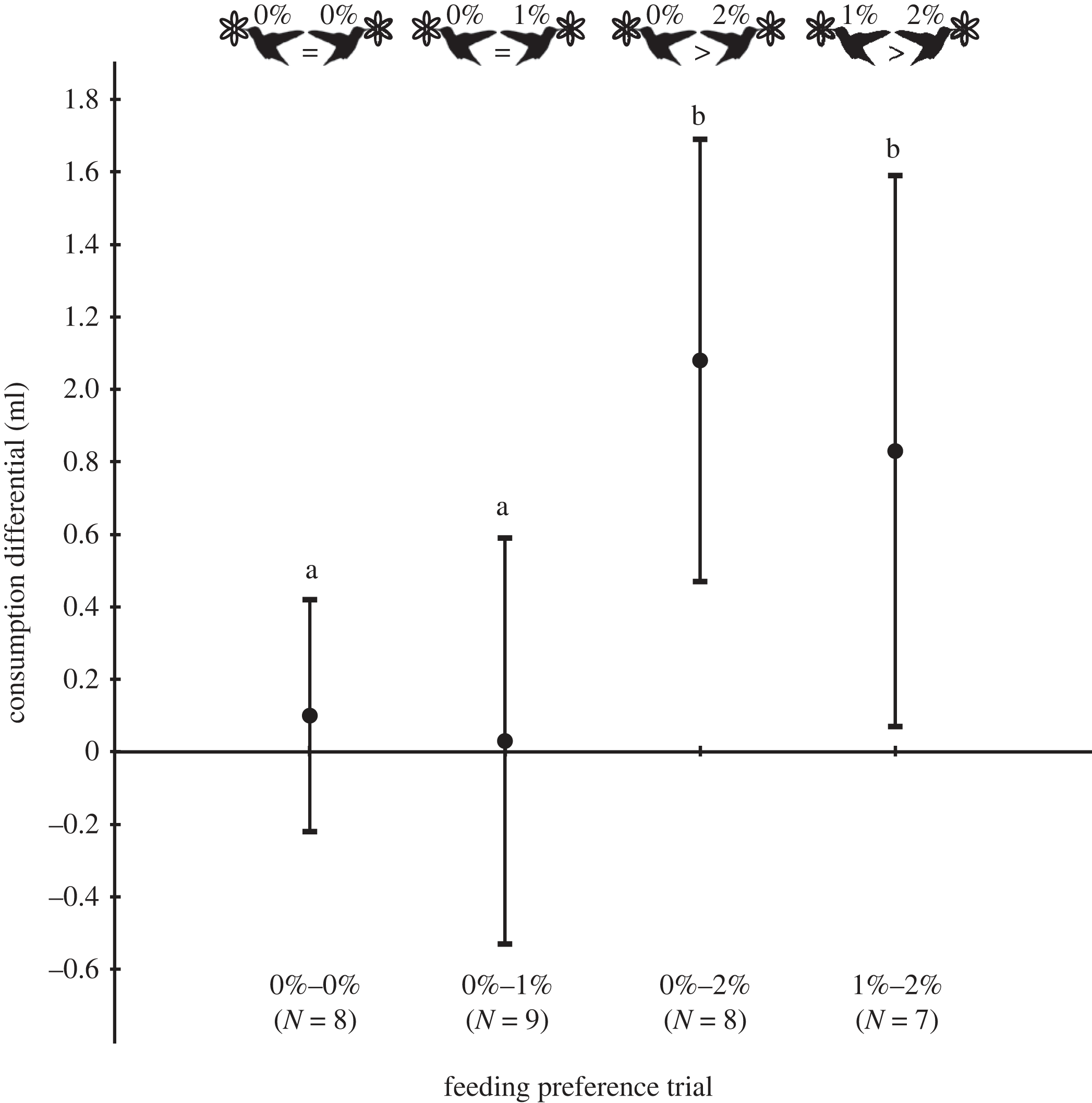
人工花蜜中の低濃度エタノールのハチドリ摂取 Hummingbird ingestion of low-concentration ethanol within artificial nectar
Julia Choi,Lilianne Lee,Aleksey Maro,Ammon Corl,Jimmy A. McGuire,Rauri C. K. Bowie and Robert Dudley
Royal Society Open Science Published:21 June 2023
DOI:https://doi.org/10.1098/rsos.230306

Abstract
Both frugivores and nectarivores are potentially exposed to dietary ethanol produced by fermentative yeasts which metabolize sugars. Some nectarivorous mammals exhibit a preference for low-concentration ethanol solutions compared to controls of comparable caloric content, but behavioural responses to ethanol by nectar-feeding birds are unknown. We investigated dietary preference by Anna’s Hummingbirds (Calypte anna) for ethanol-enhanced sucrose solutions. Via repeated binary-choice experiments, three adult male hummingbirds were exposed to sucrose solutions containing 0%, 1% or 2% ethanol; rates of volitional nectar consumption were measured over a 3 h interval. Hummingbirds did not discriminate between 0% and 1% ethanol solutions, but exhibited significantly reduced rates of consumption of a 2% ethanol solution. Opportunistic measurements of ethanol concentrations within hummingbird feeders registered values peaking at about 0.05%. Ethanol at low concentrations (i.e. up to 1%) is not aversive to Anna’s Hummingbirds and may be characteristic of both natural and anthropogenic nectars upon which they feed. Given high daily amounts of nectar consumption by hummingbirds, chronic physiological exposure to ethanol can thus be substantial, although naturally occurring concentrations within floral nectar are unknown.


