2025-01-24 国立循環器病研究センター
研究成果のポイント
- 心不全、筋疾患の多くは治療法が限られており、生活の質や生命予後に重篤な影響を及ぼす国民的課題です。
- 市販薬「Tranilast」が、ストレッチ感受性カルシウムチャネル「TRPV2」を阻害し、難治性の進行期心不全筋ジストロフィー患者で心機能低下や心不全死亡を抑制する効果が判明しました。
- Tranilastは既承認薬で安全性の高い薬剤であることから、今後の発展が期待されます。
概要
国立循環器病研究センターの岩田裕子研究員と国立病院機構大阪刀根山医療センター特命副院長・臨床研究部長の松村 剛を中心とした研究グループは、アレルギー・ケロイドの治療薬「Tranilast」が、難治性の進行期心不全筋ジストロフィー患者で心機能低下や心不全死亡を抑制する効果を持つことを明らかにしました。
研究グループはストレッチ感受性カルシウムチャネル「TRPV2」が心不全や筋疾患の病態に関与することを発見。TranilastにTRPV2阻害効果があることを確認しました。今回、先進医療による特定臨床研究で、重症心不全を合併した筋ジストロフィー患者においてtranilastが心機能を維持し、心不全死亡を減少させる効果を確認しました。この研究成果は、TRPV2阻害を新たな治療メカニズムとした筋疾患や心筋症治療の可能性を示しています。
本研究の成果は、2025年1月10日に「Orphanet Journal of Rare Disease」に掲載されました。
A. 通常とダメージを受けた細胞でのTRPV2発現:TRPV2は通常は細胞内に存在しますが、ダメージを受けた細胞では細胞膜表面に発現し、Ca2+を細胞内に取り込み、変性(壊死)を促進します。B. 健常者と患者におけるTRPV2発現:健常者では骨格筋・心筋共に細胞表面にTRPV2発現を認めませんが、DMD(デュシェンヌ型筋ジストロフィー)患者の骨格筋、心筋症患者の心筋では細胞表面にTRPV2が発現しています。C. TranilastによるTRPV2阻害効果:縦軸はTRPV2の活性を、横軸はTranilastの濃度を示しており、濃度依存性のTRPV2抑制効果が確認できました。D. 心筋症ハムスターでの治療効果:Tranilastを投与しないハムスター(左側)は心臓が拡張し壁厚が減少し線維化(青い部分)が見られますが、投与したハムスター(右側)は正常の大きさ・壁厚で線維化を認めません。
研究の内容
研究対象は、標準的な心不全治療を受けてもBNP値が100pg/mL以上の、進行期心不全筋ジストロフィー患者18名です。患者は同意のもとで最長144週間tranilastの投与を受け、主要評価項目として代表的心機能指標であるBNPの変化率、副次評価項目として心イベント、総死亡、各種心機能指標、末梢血単核球表面のTRPV2発現が評価されました。
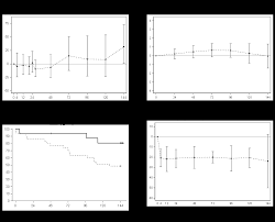
- BNP変化率:プロトコル通りの治療を行えた13名では28週までの変化率は過去の臨床試験データに比べ有意に改善し、48週まで改善傾向が持続しました(下図A)。
- 心機能指標:左室短縮率などの心機能指標は144週間にわたり概ね安定していました(下図B)。
- 生存率:144週の生存率は80.7%で心不全死亡例はありませんでした。一方、同じ時期に大阪刀根山医療センターを受診しBNPが100pg/mL以上を示した筋ジストロフィー患者35名の144週生存率は48.6%で11名が心不全死亡でした(下図C)。
- 末梢血単核球表面TRPV2発現:Tranilast投与後、単核球表面のTRPV2発現は安定的に低下しました(下図D)。
安全性についても、副作用として知られている下痢の1例を除き、治療継続に支障はありませんでした。
これらの結果は、tranilastが進行期心不全患者でも長期間安全に使用できること、安定的にTRPV2を阻害すること、心不全治療薬として有効であることを示しています。
本研究は、国立病院機構の研究費[H28-NHO(神経)-01]により実施されました。
A.BNP変化率:代表的な心機能の血液指標であるBNPは投与開始後48週までは概ね低値(改善)を示し、その後緩やかに増加しました。B. 左室短縮率:心エコーでの代表的指標である左室短縮率は投与開始後72週まで緩やかに改善し、144週まで元のレベルを維持しました。C. 生存率:Tranilst投与患者(実線)の144週生存率は80.4%でした。一方、同じ時期にBNP>100pg/mLを呈した非投与患者(点線)の生存率は48.6%でした。D. 単核球表面TRPV2発現:Tranilast投与後TRPV2発現は安定して低下していました。
今後の展望
Tranilastは心不全および筋疾患全般への応用が期待されます。今回の対象者は重症患者であり、骨格筋や運動機能への効果は十分に評価されていません。しかしながら、心機能低下や心不全死亡の抑制効果が示唆されたことは、筋疾患や心筋症の治療における重要なステップとなります。
現在、日本医療開発機構(AMED)の支援により10歳以上のデュシェンヌ型筋ジストロフィー患者を対象とした医師主導治験を実施中です。この治験では、運動機能、呼吸機能、心機能に対する有効性が評価されています。高齢化の進展により心不全患者の増加が予想される中、本研究の成果がさらなる治療法の確立につながれば、国民の健康課題解決への大きな一歩となることが期待されます。
本研究の問い合わせ先
国立病院機構大阪刀根山医療センター 脳神経内科 松村 剛
国立循環器病研究センター 心臓生理機能部 岩田 裕子
参考資料
これまでの主なTranilast臨床試験論文
パイロット試験:
- T. Matsumura, M. Matsui, Y. Iwata, M. Asakura, T. Saito, H. Fujimura, et al. A Pilot Study of Tranilast for Cardiomyopathy of Muscular Dystrophy. Intern Med 2018 Vol. 57 Issue 3 Pages 311-318. DOI: 10.2169/internalmedicine.8651-16
本試験短期投与期間(主要評価項目)結果: - T. Matsumura, H. Hashimoto, M. Sekimizu, A. M. Saito, Y. Motoyoshi, A. Nakamura, et al. Tranilast for advanced heart failure in patients with muscular dystrophy: a single-arm, open-label, multicenter study. Orphanet Journal of Rare Diseases 2022 Vol. 17 Issue 1 Pages 201. DOI: 10.1186/s13023-022-02352-3
総説: - Y. Iwata, S. Ito, S. Wakabayashi and M. Kitakaze. TRPV2 channel as a possible drug target for the treatment of heart failure. Laboratory Investigation 2020 Vol. 100 Issue 2 Pages 207-217. DOI: 10.1038/s41374-019-0349-z
- Y. Iwata and T. Matsumura. Blockade of TRPV2 is a Novel Therapy for Cardiomyopathy in Muscular Dystrophy. International Journal of Molecular Sciences 2019 Vol. 20 Issue 16 Pages 3844. DOI: 10.3390/ijms20163844


