3回以上の外傷性脳損傷の経験は、その後の人生における認知機能の低下と関連していた。 Experiencing three or more traumatic brain injuries was linked with lower cognitive function later in life.
2023-01-31 ニューサウスウェールズ大学(UNSW)
◆この研究結果は、Journal of Neurotrauma誌に掲載され、生涯で3回以上の脳震盪を経験したと報告した人は、脳震盪歴のない人に比べてベースライン時の認知機能が低下していることが示されました。UNSWシドニー校、オックスフォード大学、エクセター大学が英国で実施したこの研究は、15,000人以上の研究参加者のデータを分析したもので、脳震盪や外傷性脳損傷(TBI)の認知機能への影響について検討したこれまでの研究で最大規模のものです。
◆この研究では、軽度の脳震盪を3回経験しただけの参加者は、集中力と複雑な課題をこなす能力が著しく低下していました。また、軽度脳震盪を4回以上経験した人は、処理速度とワーキングメモリーが低下していました。脳震盪が1回増えるごとに、認知障害は徐々に悪化していきました。さらに、中等度から重度の脳震盪を1回経験するだけで、集中力、複雑な課題をこなす能力、処理速度の悪化につながることがわかりました。
◆この研究では、研究チームは、脳の老化と認知症の発症理由をより深く理解することを目的とした進行中の長期研究プロジェクトであるオンラインPROTECT研究の参加者15,764人のデータを分析しました。
◆参加者は、英国在住の50~90歳で、生涯に経験した脳震盪の程度と頻度を詳細な質問表で回答するよう求められ、認知機能の経時的変化を測定するためのコンピューターによるテストを4年間にわたり毎年受けました。なお、ベースライン時に認知症の診断を受けていた人は、この研究から除外されました。
◆脳震盪の既往がある人は、コンタクトスポーツや危険な作業など、さらなる頭部外傷のリスクがある活動を続けることの潜在的な危険性に注意する必要があります。
◆このコホートでは、6,227人(39.5%)が少なくとも1回の脳震盪を報告し、510人(3.2%)が少なくとも1回の中等度-重度の脳震盪を報告しています。参加者の平均年齢は、最後の頭部外傷を受けたのが研究の平均29年前、最初の頭部外傷を受けたのが平均39年前と報告されています。
◆「高齢の参加者は、30年以上前の出来事の詳細を思い出すことが多いという、この研究の回顧的なデザインは、十分に検証されたスクリーニングツールを使っていても、頭部外傷の報告に影響を与えたかもしれません」とLennon博士は述べている。研究者らは、認知スコアに影響を与えることが知られている未測定の共変量が、研究結果に影響を与えた可能性があることも認めている。
<関連情報>
- https://newsroom.unsw.edu.au/news/health/concussions-may-be-associated-worse-brain-function-later-age-study
- https://www.liebertpub.com/doi/10.1089/neu.2022.0360
生涯外傷性脳損傷と晩年における認知領域の欠損:PROTECT-TBIコホート研究 Lifetime Traumatic Brain Injury and Cognitive Domain Deficits in Late Life: The PROTECT-TBI Cohort Study
Matthew J. Lennon, Helen Brooker, Byron Creese, Tony Thayanandan, Grant Rigney, Dag Aarsland, Adam Hampshire, Clive Ballard, Anne Corbett and Vanessa Raymont
Journal of Neurotrauma Published Online:27 Jan 2023
DOI:https://doi.org/10.1089/neu.2022.0360

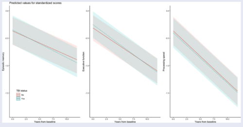
FIG. 1. Trajectories of cognition function test performance over years from baseline by TBI. Plots are based on linear mixed-effects models adjusted for baseline age (centered at 57.86 years, the average age of entry into VETSA), race/ethnicity, education, annual family income, and young adult cognitive ability (AFQT at age 20), as well as time-varying BMI (standardized), smoking status, alcohol use, substance abuse, relationship status, participation in religious activities, number of close friends, social isolation, and elevated psychiatric symptoms. AFQT, Armed Forces Qualification Test; BMI, body mass index; TBI, traumatic brain injury; VETSA, Vietnam Era Twin Study of Aging.
Abstract
Traumatic brain injury (TBI) causes cognitive impairment but it remains contested regarding which cognitive domains are most affected. Further, moderate-severe TBI is known to be deleterious, but studies of mild TBI (mTBI) show a greater mix of negative and positive findings. This study examines the longer-term cognitive effects of TBI severity and number of mTBIs in later life. We examined a subset (n = 15,764) of the PROTECT study, a cohort assessing risk factors for cognitive decline (ages between 50 and 90 years). Participants completed cognitive assessments annually for 4 years. Cognitive tests were grouped using a principal components analysis (PCA) into working memory, episodic memory, attention, processing speed, and executive function. Lifetime TBI severity and number were retrospectively recalled by participants using the Brain Injury Screening Questionnaire (BISQ). Linear mixed models (LMMs) examined the effect of severity of head injury (non-TBI head strike, mTBI, and moderate-severe TBI) and number of mTBI at baseline and over time. mTBI was considered as a continuous and categorical variable (groups: 0 mTBI, 1 mTBI, 2 mTBIs, 3 mTBIs, and 4+ mTBIs). Of the participants 5725 (36.3%) reported at least one mTBI and 510 (3.2%) at least one moderate-severe TBI, whereas 3711 (23.5%) had suffered at worst a non-TBI head strike and 5818 (32.9%) reported no head injuries. The participants had suffered their last reported head injury an average (standard deviation, SD) of 29.6 (20.0) years prior to the study. Regarding outcomes, there was no worsening in longitudinal cognitive trajectories over the study duration but at baseline there were significant cognitive deficits associated with TBI. At baseline, compared with those without head injury, individuals reporting at least one moderate-severe TBI had significantly poorer attention (B = -0.163, p< 0.001), executive scores (B = -0.151, p = 0.004), and processing speed (B = -0.075, p = 0.033). Those who had suffered at least a single mTBI also demonstrated significantly poorer attention scores at baseline compared with the no head injury group (B = -0.052, p = 0.001). Compared with those with no mTBI, those in the 3 mTBI group manifested poorer baseline executive function (B = -0.149, p = 0.025) and attention scores (B = -0.085, p = 0.015). At baseline, those who had suffered four or more mTBIs demonstrated poorer attention (B = -0.135, p < 0.001), processing speed (B = -0.072, p = 0.009), and working memory (B = -0.052, p = 0.036), compared with those reporting no mTBI. TBI is associated with fixed, dose, and severity-dependent cognitive deficits. The most sensitive cognitive domains are attention and executive function, with approximately double the effect compared with processing speed and working memory. Post-TBI cognitive rehabilitation should be targeted appropriately to domain-specific effects. Significant long-term cognitive deficits were associated with three or more lifetime mTBIs, a critical consideration when counseling individuals post-TBI about continuing high-risk activities.

