有機化学・薬学 2023-06-23
有機化学・薬学
医療・健康 適切な外来診療によって入院を防ぎうる疾患の院内死亡率がパンデミック初期に上昇
有機化学・薬学 遺伝子変異を「読み過ごす」薬で、がん予防に成功~遺伝性腫瘍に対する予防効果をモデルマウスの実験で明らかに~
医療・健康 全ゲノム解析により胃がんの新たな発がん機構を解明
有機化学・薬学 圧力でRNAのダイナミクスを解明(Rensselaer Researcher Uses Pressure To Understand RNA Dynamics)
医療・健康 ナインの研究室が日本やイスラエルの研究者と提携し、がん細胞を綱渡りさせる。(Nain lab partners with researchers in Japan and Israel to put cancer cells on a tightrope)
医療・健康 機能的に冷凍保存されたラットの腎臓の移植に初めて成功(Researchers perform first successful transplant of functional cryopreserved rat kidney)
医療・健康 ウェアラブル汗センサーが炎症の分子的特徴を検出(Wearable Sweat Sensor Detects Molecular Hallmark of Inflammation)
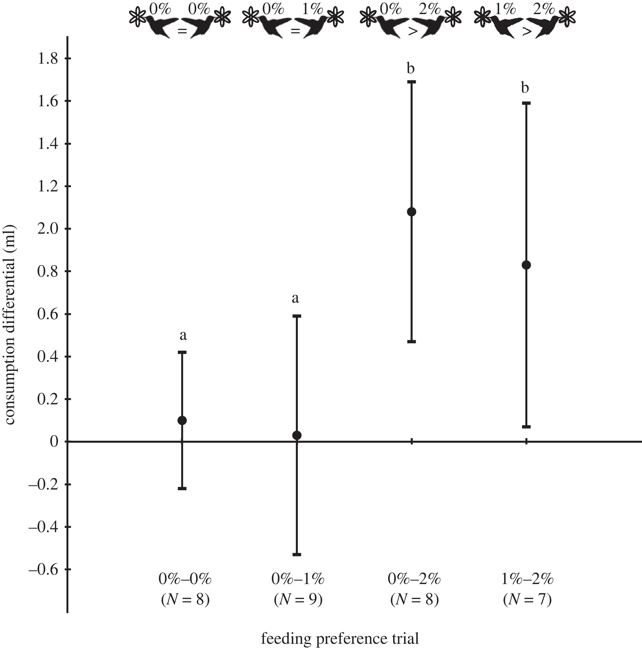
生物環境工学 ハチドリは酒を飲むか?あなたが思っている以上に頻繁に(Do hummingbirds drink alcohol? More often than you think.)
医療・健康 慢性ストレス関連ニューロンを特定(Chronic stress-related neurons identified)
医療・健康 