医療・健康 医療・健康
医療・健康
医療・健康 HOXA9がMYCと協調して白血病を引き起こすメカニズムを解明
医療・健康 緑内障の新たな治療標的を発見~P2Y1受容体機能低下が緑内障の原因となる~
医療・健康 精子形成促進分子GDNFの制御機構の解明~男性不妊治療への応用に期待~
医療・健康 卵巣の加齢性変化を制御する遺伝因子~妊孕性温存のための治療応用に期待~
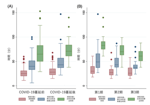
医療・健康 COVID-19蔓延下の急性期脳梗塞に対する再開通療法におけるワークフローの時間の変遷の検証
医療・健康 日本人の鼠径ヘルニア(脱腸)に関わる遺伝子座を同定
医療・健康 世界初・日本発:超音波検査による乳がん検診のランダム化比較試験(J-START)
医療・健康 腎機能の低下が単球の概日時計変容を介して心臓の炎症を悪化させる機構を解明
医療・健康 全ゲノム解析によってスキルス胃がんの治療標的を同定~難治性がんに対する新たな治療法開発の可能性~
医療・健康 脳卒中の予後(死亡率)と脳卒中専門医師数の関係について~ビックデータを用いて初めて可視化に成功~
医療・健康